Balmoral Software
r(t) = -2sin(t)/t, t ∈ T,where t is measured in radians. For a simple curve describing the outer envelope of the cochleoid, T is restricted to the interval [-π,π). The scaling factor -2 is used for comparison with the cardioid.
The curve is traced out in a counterclockwise direction, starting from the cusp
at the origin when
so by (L2), the perimeter of this portion of the cochleoid is![]()
By (A2), the corresponding area is![]()
By (C2), the centroid abscissa of this portion of the cochleoid is![]()
The bounding rectangle for inconics is delimited by the cusp at the origin.![]()
which is about 5% shorter than that of the cochleoid.![]()
The line segment of the convex hull creates an isosceles triangle with the origin, having area
(0.434467)(0.541786) = 0.235388as shown in blue in the left diagram below. The centroid abscissa of this triangle is the average of its vertex abscissas, or
By (C2), the associated centroid abscissa is![]()
The convex hull component metrics can be summarized as follows:![]()
The area of the convex hull is about 2% larger than that of the cochleoid. The centroid abscissa of the convex hull is the weighted average
Region Area Centroid abscissa Product Triangle 0.235388 0.289645 0.068179 Remainder A1 = 5.53872 -4.21048/A1 -4.21048 Total 5.774108 -4.142301
d/dt [x(t) - z]y(t) = d/dt 4sin3(t)cos(t)/t2has a zero at t* = -0.671886. The corresponding coordinates are
x* = -1.45016We then havey* = 1.15335
For verification,![]()
d/dt [x(t) - z]y(t) = d/dt [-2sin(t)cos(t)/t + 2]2sin2(t)/thas a zero at t* = -π/2. The corresponding coordinates are
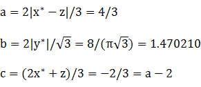
x* = 0We then havey* = 4/π
For verification,![]()
Figure Parameters Perimeter Area Centroid Incircle R = 1 6.283185 3.141593 (-1,0) Inellipse a = 0.966773
b = 1.3317747.266693 4.044873 (-0.966773,0) Cochleoid Width: 2.434467
Height: 2.8984469.056693 5.672606 (-0.736250,0) Convex hull 8.603362 5.774108 (-0.717392,0) Circumellipse 8.812839 6.158400 (-0.666667,0) Circumcircle R = 1.449223 9.105737 6.598122 (-0.621685,0)

The cochleoid (red) is a member of a group of similarly-shaped figures described on these pages, including (inside to outside) the rotated lima bean curve, the cardioid and the Cayley sextic:
Copyright © 2021 Balmoral Software (http://www.balmoralsoftware.com). All rights reserved.